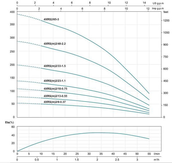
پمپ شناور لئو مدل 4XRSm2/13-0.55
LEO Submersible Borehole Pump 4XRSm2/13-0.55
- هد : 76 متر
- دبی : 3.3 متر مکعب بر ساعت
- توان پمپ : 0.75 اسب بخار
- حداکثر عمق شناوری : 80 متر
قیمت استعلام از واحد فروش
- هد : 76 متر
- دبی : 3.3 متر مکعب بر ساعت
- توان پمپ : 0.75 اسب بخار
- حداکثر دمای سیال : تا 50+ درجه سانتی گراد
- حداکثر عمق شناوری : 80 متر
- حداقل قطر چاه : 4 اینچ
- حداکثر میزان ذرات : 0.25%
- جنس بدنه : استنلس استیل 304 (AISI304)
- جنس پروانه پمپ : استنلس استیل 304 (AISI304)
- نوع برق مصرفی : تک فاز و سه فاز
- جنس شفت : استنلس استیل 304 (AISI304)
- تعداد پروانه : 13 عدد
- مناسب برای : آبیاری در باغ , مصارف خانگی-شهری و صنعتی ، تامین آب از چاه ها یا مخازن .
قبل از هرگونه پرداخت وجه و سفارش تجهیزات از موجودی محصول و یا زمان ساخت و تحویل آن اطمینان حاصل نمایید.
- پرداخت حضوری: جهت حفظ آسودگی خاطر مشتریان، پرداخت حضوری قبل از تحویل کالا در محل شرکت بامین تهویه امکان پذیر می باشد.
- پرداخت غیر حضوری: با توجه فواصل مکانی و یا مشغله کاری برخی از مشتریان ، امکان پرداخت غیر حضوری مبلغ کالا به شماره حساب های ارائه شده ، میسر می باشد. این پرداخت پس از حصول اطمینان از موجودی کالا و زمان تحویل از طریق همراه بانک، اینترنت بانک، عابر بانک، و یا انتقال وجه توسط شعب بانک مقدور می باشد.
- پرداخت در محل: فروشگاه بامین تهویه این امکان را برای مشتریان ساکن تهران فراهم ساخته که اجناس با ارزش کمتر از ۵/۰۰۰/۰۰۰ ریال را بصورت پرداخت در محل پس از تحویل کالا، خریداری نمایند.
دیدگاهی یافت نشد!
